彩德网
彩德网成立于 1958 年,是国家最早定点从事天然气化工技术研发与精细化工新技术、新产品研发的科研机构和中间试验基地,长期从事特殊功能单体及聚合物的开发和生产。
彩德网
彩德网成立于 1958 年,是国家最早定点从事天然气化工技术研发与精细化工新技术、新产品研发的科研机构和中间试验基地,长期从事特殊功能单体及聚合物的开发和生产。
彩德网
彩德网成立于 1958 年,是国家最早定点从事天然气化工技术研发与精细化工新技术、新产品研发的科研机构和中间试验基地,长期从事特殊功能单体及聚合物的开发和生产。
新闻中心
彩德网
彩德网成立于 1958 年,是国家最早定点从事天然气化工技术研发与精细化工新技术、新产品研发的科研机构和中间试验基地,长期从事特殊功能单体及聚合物的开发和生产。
彩德网
彩德网成立于 1958 年,是国家最早定点从事天然气化工技术研发与精细化工新技术、新产品研发的科研机构和中间试验基地,长期从事特殊功能单体及聚合物的开发和生产。
4-羟丁基乙烯基醚(HBVE)
CAS No.:17832-28-9
羟乙基乙烯基醚(HEVE)
CAS No.:764-48-7
苄基乙烯基醚
CAS No.:935-04-6
环己基乙烯基醚(CVE)
CAS No.:2182-55-0
乙二醇单烯丙基醚(EGMAE)
CAS No.:111-45-5
乙二醇二烯丙基醚
CAS No.:7529-27-3
二乙二醇单烯丙基醚(DEGMAE)..
CAS No.:15075-50-0
丁二醇单烯丙基醚
CAS No.:1471-15-4
N-乙烯基咪唑
CAS No.:1072-63-5
N-乙烯基f唑烷酮
CAS No.:4271-26-5
5-甲基N-乙烯基f唑烷酮
CAS No.:3395-98-0
乙烯基咔唑
CAS No.:1484-13-5
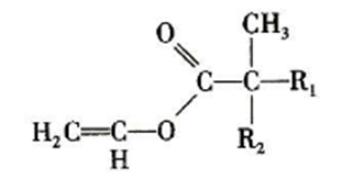
乙烯基醚丙烯酸酯(VEEA)..
CAS No.:86273-46-3
环己酮缩甘油丙烯酸酯
CAS No.:
丙酮缩甘油丙烯酸酯
CAS No.:13188-82-4
聚丙二醇烷基醚(成膜助剂)
CAS No.: